根据《中华人民共和国食品安全法》及其《食品安全监督抽检和风险监测工作规范》等规定,现将香格里拉市市场监督管理局2025年第21期食品安全监督抽检信息公告如下:
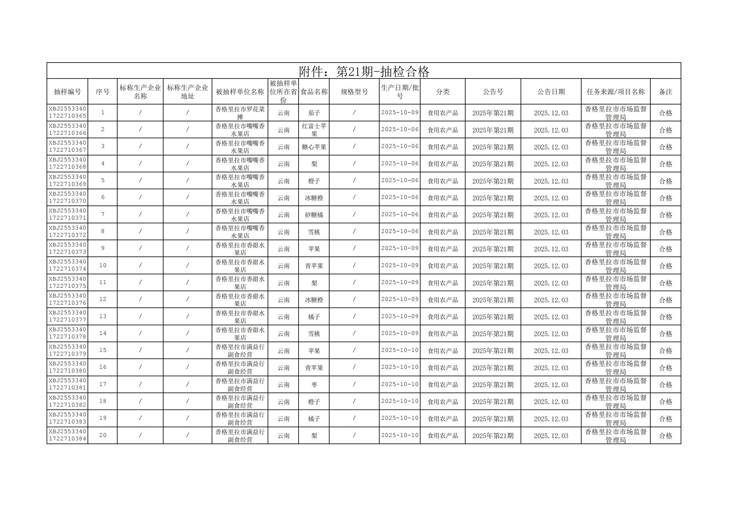
本期公布的食品安全监督抽检产品为:食用农产品,抽检依据:GB 2763-2021《食品安全国家标准 食品中农药最大残留限量》、GB 2762-2022《食品安全国家标准 食品中污染物限量》等标准要求,抽检项目包括:敌敌畏、毒死蜱、氯氟氰菊酯和高效氯氟氰菊酯、氧乐果、水胺硫磷、苯醚甲环唑、乙螨唑、乙酰甲胺磷等指标。
本次公告合格样品20批次。
附件:第21期-抽检合格;
香格里拉市市场监督管理局
2025年12月3日
附件: