政府信息公开

(市场监督管理局)

索引号
MB0R85504H/202200303
文  号
来 源
市场监督管理局
公开日期
2022-11-11
香格里拉市市场监督管理局2022年食品安全监督抽检信息公示 (第5期)
发布时间:2022-11-11 16:02     浏览次数:8233   
字体:[ ]
打印

香格里拉市市场监督管理局2022年

食品安全监督抽检信息公示

(第5期)

根据《中华人民共和国食品安全法》《食品安全监督抽检和风险监测工作规范》等规定,现将香格里拉市市场监督管理局2022年第5期食品安全监督抽检信息公示如下:

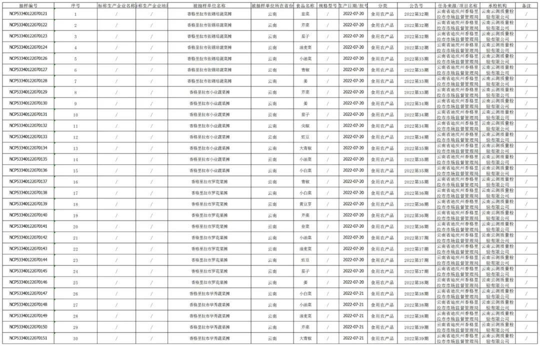
本期公布的食品安全监督抽检产品为:食用农产品,抽检依据:GB 2762-2017《食品安全国家标准 食品中污染物限量》;GB 2763-2021《食品安全国家标准 食品中农药最大残留限量》等标准要求。抽检项目包括:镉、腐霉利、铅、啶虫脒、毒死蜱、氟虫腈、阿维菌素、甲胺磷、甲拌磷、克百威、噻虫嗪、水胺硫磷、涕灭威、氧乐果、唑虫酰胺等指标。承检机构:云南云测质量检验有限公司,公告抽检样品30批次,合格样品30批次,合格率为100%。

 

附件:附件1抽检样品相关信息统计表第5期.xls


                                                                香格里拉市市场监督管理局

                                                                       2022年11月10日第五期.jpg


主办:香格里拉市人民政府 承办:香格里拉市人民政府办公室
地址:迪庆藏族自治州香格里拉市新行政中心1号楼 联系电话:0887-8222511
建议使用1920*1080分辨率/IE9以上浏览器访问达到最佳效果 本站已支持IPV6/IPv4访问
站内不良信息举报电话:0887-8226712